• google scholor
  • Views: 54

  • PDF Downloads: 3

Environmental Impact of Tanzania’s Economic Transition Shaped by Industrialisation, Urbanisation, Energy Consumption, and Investment

Dorika Jeremiah Mwamtambulo *

1 Department of Accounting and Finance, The University of Dodoma, Dodoma, The United Republic of Tanzania

Corresponding author Email: mwamtambulo@yahoo.co.uk

DOI: http://dx.doi.org/10.12944/CWE.20.3.12

This research analyses the key factors influencing carbon dioxide (CO2) emissions in Tanzania by incorporating economic structure, population dynamics, and technological advancement. Using the Autoregressive Distributed Lag (ARDL) approach alongside the Error Correction Model (ECM), the study evaluates both short-term and long-term impacts of industrial expansion, financial sector development, urban growth, technological progress, trade integration, renewable energy consumption, and foreign direct investment on CO2 emission levels. The findings revealed that industrialisation, renewable energy usage, and managed urbanisation are associated with a long-term reduction in CO2 emissions, while rapid urbanisation and technological innovation are associated with increased emissions in the short run, though these effects are temporary. The study highlighted the complex interplay between development, urbanisation, and environmental outcomes in Tanzania and highlights the need for balanced policy interventions to achieve sustainable growth.

CO2 emission; Industrialisation; Renewable energy usage; Technological innovation; Tanzania

Copy the following to cite this article:

Mwamtambulo D. J. Environmental Impact of Tanzania’s Economic Transition Shaped by Industrialisation, Urbanisation, Energy Consumption, and Investment. Curr World Environ 2025;20(3). DOI:http://dx.doi.org/10.12944/CWE.20.3.12

Copy the following to cite this URL:

Mwamtambulo D. J. Environmental Impact of Tanzania’s Economic Transition Shaped by Industrialisation, Urbanisation, Energy Consumption, and Investment. Curr World Environ 2025;20(3).


Download article (pdf)
Citation Manager
Publish History


Article Publishing History

Received: 2025-11-27
Accepted: 2026-01-01
Reviewed by: Orcid Orcid Kaushiki Banerjee
Second Review by: Orcid Orcid Prerna Mehta
Final Approval by: Dr. Hiren B Soni

Introduction

Human progress is intimately linked with the process of industrialisation, technological innovations and advancements, financial development, urbanisation and a shift towards renewable sources of energy. In dismay of many, such progress has brought about some environmental concerns. The industrialisation process has brought about environmental pollution and resource depletion, with significant development and stability in financial sectors, encouraging some unsustainable practices.1–6 Both technological innovation and use of renewable energy have counteracted these problems resulting from the industrialisation; however, rapid urbanisation poses new challenges, typically in the increase of unsustainable activities that furtherly exacerbate these effects in the environment.7–13 As the world continues to evolve and human activities continue to progress, the need of understanding the interconnectedness of these factors towards the environment is essential for sustainable development. Moreover, it is more dire in recent years as the world is directly experiencing the effects of climate change and has shown to have a long-lasting effect on the natural environment, the weather, which has greatly impacted food security.14–17

The effects of the process of industrialisation on the environment are more profound and multifaceted. The industrialisation process over the years is characterised by the mass production of goods and the establishment of large-scale industries that use fossil fuel as a source of energy to revolutionaries human society.18–20 Industrial development has led to serious environmental degradation, primarily through the release of greenhouse gases (GHGs), including carbon dioxide and methane and the discharge of hazardous chemical substances into land and water systems, posing significant risks to human well-being and ecological balance.1,2,5,21 Moreover, large industries' expansion poses a resource depletion threat. The great demand for raw materials such as coal, oil, metal and timber increases their extraction of these natural sources, leading to outcomes such as deforestation, soil degradation and loss of biodiversity. As human progress, dependency on the industrialisation processes for economic development continues to be high, and over-exploitation of natural resources and environmental pollution are on the rise.

Financial development offers economic stability and assists in shaping the economic system of a country, and by extension, impacts the environment. Development of the financial system can thus foster environmental sustainability or drive environmental degradation. A common observation is that financial development often leads to an increase in consumption, leading to higher exploitation of natural resources and environmental pollution.22–24 An economic development driven by the financial systems is more than often prioritising short-term gains over long-term sustainability at both the environmental and economic levels. Impact investing and green financing are some examples of the growing sectors of financial development in recent years that have emphasised environmental and sustainable investing and financing. They stimulate capital allocation toward sustainable investment activities that are crucial for climate-impact mitigation and the preservation of environmental quality.25–29 Proper alignment of the financial sector document with sustainable practices is expected to be the most powerful tool for addressing the environmental challenges that can be posed by the process of industrialisation.

The use of fossil fuels in the industrialisation process has posed environmental risks that can be managed by transitioning to renewable energy. Unlike fossil fuels, renewable energy poses little to no threat to the depletion of natural resources or air pollution, as it produces minimal to no greenhouse gases.30–35 The transition from fossil to renewable energy is not always smooth, as it also presents certain challenges. Many of the renewable energy technologies make use of raw materials that are extracted in processed in industries, increasing their impact on the environment and on the depletion of natural resources. Several renewable energy technologies, including solar and wind power, are characterised by variability, making them dependent on energy storage or backup systems whose production and deployment can also have environmental consequences.36 Technology advancement in improving storage facilities and their efficiency presents a vital step towards mitigating the impact of climate change.

In many developing nations, FDI and trade openness can generate mixed environmental impacts, ranging from positive to negative. Much literature has observed that an increase in the flow of FDI and trade openness in developing nations tends to promote economic growth and technological advancement, and they tend to exacerbate the risks to the environment.20,37–40 The pollution haven hypothesis suggests that larger multinational corporations may target many developing nations due to their weaker environmental regulation, leading to an increase in environmental degradation. As a result, both trade openness and FDI may lead to an increase in environmental pollution, resource depletion, including ecological degradation in many of these nations. Similarly, greater foreign investment in natural resource industries can worsen environmental degradation. This reflects the Dutch disease pattern, where a country’s excessive focus on resource extraction weakens environmental oversight and contributes to the decline of other economic sectors. In addition, trade liberalisation increases the scale of production to meet higher demand, intensifying manufacturing and transport activities and resulting in more air pollution and faster exhaustion of natural resources. Both FDI and trade openness can also bring in some positive environmental impacts, especially when connected with the transfer of environmental best practices, sustainable and clean or environmentally friendly technologies in many developing nations.41,42 Such an undertaking tends to eliminate the negative environmental effects and contribute to transitioning to cleaner energy utilisation. FDI can work as a drive towards improvement in environmental practices, subject to pushing strictly environmental standards to multinational companies both at their home and in foreign countries.

The pursuit of improved economic prospects, education, and healthcare has significantly increased the movement of populations from rural regions to urban centres across many countries.43,44 With the benefit of improving the living standard, the urbanisation process raises environmental costs resulting from placing tremendous pressure on the environment. Urbanisation tends to lead to an increase in resource consumption, leading to natural resource depletion. Furthermore, transportation, industry operations and other large cities' activities are major contributors to greenhouse gas emissions.45 The idea for impact of industrialisation, financial development, urbanisation, FDI, renewable energy usage and technological innovation to the environment in the literature is not a new concept, similarly studies can be seen for those Much of the limitation of these studies especially those conducted in Sub-Saharan African is on the generalisation of the outcomes in all countries given their diversity in level of economic growth, environmental policies, technological advancement and initial endowment. As many of Sub-Saharan African countries are entering or in the process of industrialisation, massive development on the financial sectors, embraced the advancement in technology and have accounted for significant rural; -urban migration in recent years; diversity in their approaches prove the need of policies that tailored to meet the need of an individual country to which the current study is aiming to address.

Thus, the current study extends the prior study of Byaro et al.,46 by incorporating this broader set of explanatory variables to investigate the determinants of carbon emission in Tanzania, which is currently undergoing rapid economic transformation amid growing environmental concerns around the world. Specifically, Tanzania is chosen because it is currently undergoing rapid economic transformation, with growing economic activities, increasing energy demand, and emerging environmental challenges. These factors make it a relevant case for examining the determinants of carbon emissions and the relationship between economic factors and environmental quality. Additionally, Tanzania’s recent policy reforms and development strategies provide an important context for assessing the dynamics explored in this study. The study's specific objective is to investigate the determinants of carbon emissions in Tanzania by integrating key economic, demographic and technological factors, including trade openness, financial development, technological innovation, foreign direct investment, urbanisation, and renewable energy usage, into the analytical framework. This framework seeks to offer an integrated perspective on the combined effects of these variables on environmental sustainability as the nation undergoes continued economic transition. The inclusion of these variable in the analysis is particularly relevant to Tanzania basing on its unique economic development trajectory and it pursue towards its ambitious development agenda under the frameworks such as Vision 2025, sustainable development goals 2030 and Africa agenda 2063, characterised by expansion of the country’s trade linkages, rapid urbanisation, growing industrialisation, increase inflows of foreign capital, a usher transition towards renewable energy and its ongoing efforts towards modernising its financial sector. The country's expansion towards participation in both regional and global markets drives trade openness, which is more likely to influence production structures and environmental outcomes. Financial development and FDI inflows are analysed in the context of mobilising resources towards environmentally sustainable projects, especially in a setting where such resources are scarce. Technological innovation is vital in addressing energy inefficiency and reducing emissions as the country seeks its industrialisation policy under its national development plan. Renewable energy usage is particularly prevalent in Tanzania due to its abundant natural resources and government initiatives aiming at transitions to cleaner energy sources. In contextualising these variables in the Tanzania setting, the current study offers a more nuanced and policy-relevant understanding of both economic and structural drivers of carbon emissions, henceforth contributing to the formulation of more informed and effective environmental strategies.

Materials and Methods

Dataset construction and variable overview

The analysis utilises annual time-series observations for Tanzania covering the years 1990–2023, a duration sufficient to reflect both short-term fluctuations and long-run relationships among the study variables. This timeframe encompasses key phases of economic liberalisation and industrial growth in the country. All variables were obtained from the World Bank’s World Development Indicators (WDI), a widely recognised source of consistent data on economic, demographic, technological, and environmental metrics. Table 1 presents a detailed overview of the variables, including their definitions and data sources.

Table 1: Variables description

Study Variables

Abbreviation

Unit in Measurement

CO2 emission

CO2

CO2 emissions measured on a per-capita basis, excluding land-use and forestry-related sources.

Industrialisation

INDU

Industrial (including construction) Value Added (% of GDP)

Financial Development

FD

Broad money relative to GDP (%)

Urbanisation

URB

Urban Population (% of total population)

Technological Innovation

TI

Total number of patent filings submitted by both domestic and foreign applicants

Trade Openness

TO

Aggregate value of a country’s imports and exports relative to gross domestic product (%)

Renewable Energy Usage

RE

Renewable energy’s contribution to total final energy use (%)

Foreign Direct Investment

FDI

The proportion of GDP represented by incoming foreign direct investment.

Gross Domestic Product

GDP

GDP per capita at a current price

Source: author’s description of variables as sourced from World Development Indicators (WDI)

The annual trend of these variables is presented in Figure 1. It revealed a clear long-term transformation of the Tanzanian economy between 1990 and 2023, marked by rising emissions alongside structural and financial changes. Carbon emissions increase substantially over time, especially after the mid-2000s, broadly mirroring sustained growth in GDP and expanding industrial activity. Urbanisation shows a steady upward trend, indicating population concentration in cities, while renewable energy use declines gradually, suggesting continued reliance on non-renewable energy sources despite economic progress. Foreign direct investment and financial development rise overall but fluctuate across years, reflecting periods of external shocks and recovery. Trade openness expands notably after 2000, supporting higher economic output, whereas technological indicators and institutional variables show gradual improvement. Taken together, the trends suggest that economic expansion, industrialisation, and urban growth have been achieved at the cost of higher environmental pressure, highlighting the need for stronger integration of renewable energy and sustainable policies to decouple growth from emissions.

Figure 1: Annual trend of study variables

Click here to view Figure

To empirically assess the environmental impact of industrialisation, financial development, urbanisation, technological innovation, trade openness, renewable energy usage and FDI, the following linear function was adopted.

Where CO2: carbon dioxide emission, INDt industrialisation, FDt Financial Development, URBt urbanisation, TIt technological innovation, TOt trade openness, REt renewable energy usage, FDIt Foreign direct investment. The control variable of economic development is presented here as GDPt It is added to the model. The time dimension of the variable is indicated by t, with e presenting the error term.

Econometric strategy

Both the Augmented Dickey-Fuller (ADF) and Phillips-Perron (PP) tests were applied to determine the stationarity and integration order of the variables, ensuring a rigorous and reliable approach for time series analysis. These steps, combined with detailed descriptions of the ARDL and ECM frameworks, ensured that the analytical methods are clearly presented and suitable for achieving the study objectives. Following the stationarity analysis, the Autoregressive Distributed Lag (ARDL) approach was employed to estimate both short- and long-run relationships between CO2 emissions and key determinants, including industrial growth, financial development, urbanisation, technological innovation, trade openness, renewable energy usage, and foreign direct investment. The Error Correction Model (ECM) was employed to measure how quickly short-term variations or departures or discrepancies, or deviations converge back to the long-term equilibrium. This methodological combination creates a coherent and transparent framework capable of examining both immediate and persistent (i.e., short-term and long-term) effects of the explanatory factors on Tanzania’s CO2 emissions.

The Granger causality test was additionally performed to identify the direction of predictive interactions among the variables, assessing whether historical values of one variable provide significant information for predicting another. The findings are reported in Appendix Table A4. The test results reveal no statistically significant causal link between the independent and dependent variables, indicating that past values of the independent variable do not meaningfully enhance forecasts of CO2 emissions within the examined lag periods. It should be noted that the results do not imply the absence of any relation, but rather not detected in the current sample period, underscoring the need for further investigation to understand the variable interactions.

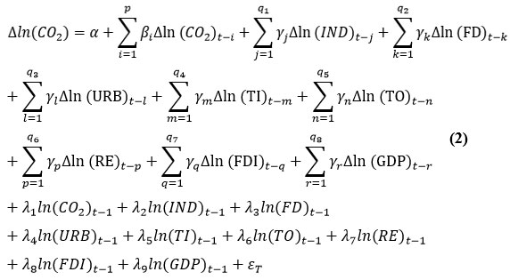
The autoregressive distributed lag (ARDL) bounds test proposed by Pesaran et al.,47 was employed to test for the existence of a long-run equilibrium or cointegration between the variables. The suitability of this approach lies in its effectiveness with small sample sizes and significantly in its ability to handle those variables of mixed integration orders, i.e., I (0) and I (1), enabling the simultaneous estimation of both long-run and short-run dynamics.48 Thus, the estimation model took the form of:

Where D is the first difference of the variables, B and y coefficients measuring short-run dynamics and h1 to h9 capturing the long-run relationships. The values of p and q represent the lag orders selected based on the Akaike Information Criterion. The existence of a long-run equilibrium relationship among the variables was assessed through the ARDL bounds testing methodology, relying on the calculated F-statistic. Under the null hypothesis, no long-run relationship is assumed, implying that all level coefficients are jointly equal to zero

In contrast, the alternative hypothesis posits the presence of a level relationship, where at least one of the corresponding coefficients differs from zero

The decision regarding the null hypothesis is based on the magnitude of the computed F-statistic. When this statistic is greater than the upper critical bound, the presence of a long-term relationship among the variables is established, leading to rejection of the null hypothesis.

ARDL estimation and error correction model

Following evidence of a cointegration connection via the ARDL bounds approach, the long-run ARDL model and its linked short-run error correction model (ECM) were derived. The ARDL model for the long run represents the stable relationships among the variables across time, while the ECM introduces an adjustment term that captures the pace at which short-term divergences move back toward the long-run equilibrium. This coefficient should be negative and statistically meaningful. The ECM estimation model has the form:

In this specification, D denotes the first-difference operator, while p and o capture short-term adjustment effects. The lagged error correction component, ECt-1 , reflects deviations from long-run equilibrium, with n representing the adjustment speed; a statistically significant negative value of n indicates the presence of cointegration. The lag orders, p and q are selected using the Akaike Information Criterion (AIC). Model reliability is assessed using conventional diagnostic tests, including the Durbin–Watson and Breusch–Godfrey LM tests to detect autocorrelation, and the Breusch–Pagan procedure to examine heteroskedasticity. The summary of methodology or workflow used in the study is presented in Figure 2 with results for the diagnostic test are presented in Appendix Table A3.

Figure 2: Modelling Approach

Click here to view Figure

Results

Descriptive statistics

Table 2 reports summary statistics that describe the main features of the variables used in this analysis. Indicators of central location, including the mean and median, along with variability measures such as the standard deviation and range, and distributional attributes like skewness and kurtosis, offer preliminary insights into the data and help assess the suitability of the variables for further econometric investigation. In general, all variables in the dataset display relatively low skewness, an indication that their distributions are approximately symmetric with no significant tail imbalances. Similarly, the kurtosis value is relatively flat, which suggests that the distributions of the dataset are not excessively peaked or heavy-tailed. These characteristics of low skewness and near-zero (flat) kurtosis are consistent with the properties of a normal distribution. Thus, it can be inferred that the dataset follows a distribution that is close to normal, which is a favourable condition for statistical analysis and modelling techniques that follow.

Table 2: Descriptive measures of the study variables

Var

Obs

Mean

Std. Dev.

Min

Max

Skewn.

Kurt.

CO2

34

-1.903021

0.4938184

-2.627017

-1.180547

0.9507

0.0000

INDU

34

2.966917

0.3981491

2.191993

3.355915

0.0097

0.6508

FD

34

2.927536

0.2110669

2.541056

3.204693

0.1813

0.0292

URB

34

-0.6437811

0.3433158

-1.142564

-0.3174542

0.2450

0.0000

TI

34

-1.236276

0.420812

-2.171557

-0.6792443

0.0072

0.3645

TO

34

3.596729

0.2313632

3.1776

4.028314

0.8879

0.0729

RE

34

4.479377

0.0651136

4.349368

4.55598

0.0745

0.0886

FDI

34

0.1962379

2.394116

-8.881526

1.734125

0.0000

0.0000

GDP

34

6.324857

0.5596181

5.413838

7.11028

0.7390

0.0005

Source: StataCorp 2015.

Empirical results of unit root tests

The outcomes of the Augmented Dickey–Fuller and Phillips–Perron unit root tests are reported in Appendix Table A1. The findings show that foreign direct investment is stationary in its level form, classified as I (0), whereas the remaining variables become stationary only after taking first differences, indicating integration of order one, I (1). Since none of the variables are integrated of order two, I (2), the ARDL bounds testing approach for cointegration was deemed appropriate.

Bound test for cointegration results

The findings from the ARDL bounds testing procedure are reported in Appendix Table A2. The computed F-statistic of 11.468 is well above the upper critical bounds across all standard significance thresholds. In particular, since the test statistic surpasses the upper bound value at the 1% level, the hypothesis that no long-run association exists among the variables is decisively rejected. This result provides strong evidence of a stable long-term equilibrium relationship, thereby justifying the estimation of both the long-run ARDL specification and its associated error correction framework.

Diagnostic test results

Appendix Table A3 presents the outcomes of the diagnostic checks, including the Durbin–Watson and Breusch–Godfrey LM tests for autocorrelation, as well as the Breusch–Pagan test for heteroskedasticity. Durban-Watson and Breusch-Godfrey LM tests showed the non-existence of serial correlations.

ARDL estimation results

The results for the ARDL (1 0 0 1 2 0 2 1 1) model in Table 3 present important dynamics in the relationships between CO2 emission and factors of industrialisation, financial development, urbanisation, technological innovation, trade openness of the country, renewable energy usage, foreign direct investment and most importantly, GDP. The model demonstrated strong explanatory power, with an R-squared of 0.9977 (99.77%) and an adjusted R-squared of 0.9953 (99.53%), suggesting that over 99% of the variation in CO2 emissions is accounted for by the model. The significance of the model is also confirmed to be high with an F-statistic (p<0.01).

The results revealed that industrialisation and renewable energy usage contribute to reducing CO2 emissions in the long run, indicating that sustainable industrial practices and greater adoption of renewable energy are effective in mitigating carbon emissions. Urbanisation shows mixed effects: while its short-term impact is limited, sustained urban expansion is associated with higher CO2 emissions over time. Technological innovation presents a nuanced pattern, with some lagged effects linked to increased emissions, while other effects are negligible. Trade openness and financial development do not show significant impacts on CO2 emissions, and foreign direct investment has minimal influence except for minor delayed effects. These results emphasise the significant impact of renewable energy, the necessity of controlling urban expansion, and the importance of harmonising industrial development with technological advancement to promote sustainable environmental progress in Tanzania.

Table 3: ARDL (1 0 0 1 2 0 2 1 1) model results

Variables

Coefficient

Standard Error

t-value

L1_ CO2

0.212155*

0.1167351

1.82

D_INDU

-0.1511786**

0.0520741

-2.90

D_FD

-0.0586752

0.1281225

-0.46

D_URB

0.1650381

0.1099047

1.5

LI_URB

0.4848071***

0.1210263

4.01

D_TI

-0.0601401

0.0640712

-0.94

L1_TI

0.0583343

0.0724609

0.81

L2_TI

0.1246252*

0.0600631

2..07

D_TO

-0.0923819

0.0748553

-1.23

D_RE

-8.029208***

0.6865645

-11.69

LI_RE

2.95751**

1.18597

2.49

L2_RE

1.106938

0.7960492

1.39

FDI

0.0012685

0.0287155

0.04

L1_FDI

0.0126463*

0.0063278

2.00

GDP

0.1258057

0.1720975

0.73

L1_GDP

-0.1797197

0.1585509

-1.13

Constant

18.09643***

4.096842

44.42

R-Squared

0.9977

Prob>F

0.0000

Adjusted R Squared

0.9953

Observations (N)

32

Source: StataCorp 2015. Where ***, **, * represent 1%, 5% and 10% significant levels

ECM estimation results

Table 4 presents the error correction model derived from the ARDL (1 0 0 1 2 0 2 1 1) framework, providing insights into short-term adjustments while simultaneously reflecting the long-term equilibrium relationships between CO2 emissions and factors including industrialisation, financial development, urban growth, technological progress, trade openness, renewable energy consumption, foreign direct investment, and GDP. The model is based on 32 observations with an R-squared of 0.9561 (95.61%) and an adjusted R-squared of 0.9092 (90.92), exhibiting a high overall fit of over 90% on the variation of CO2 emission as explained by the included regressors.

Table 4: Results of the ARDL-based error correction model

Variables

Coefficient

Standard Error

t-value

ADJUST (ECt-1 )

-0.787845***

0.1167351

-6.75

Long-run

INDU

-0.1918887**

0.0676069

-2.84

FD

-0.0744756

0.1645392

-0.45

URB

0.8248389***

0.1241692

6.64

TI

0.1558928**

0.0655857

2.38

TO

-0.117259

0.0920798

-1.27

RE

-5.032412***

0.9181365

-5.48

FDI

0.0176619

0.0331513

0.53

GDP

-0.0684323

0.1008422

-0.68

Short-run

D1_URB

-0.4848071***

0.1210263

-4.01

D1_TI

-0.1829595***

0.0523226

-3.50

LD_TI

-0.1246252*

0.0600631

-2.07

D1_RE

-4.064447***

0.9533221

-4.26

LD_RE

-1.106938

0.7960492

-1.39

D1_ FDI

-0.0126463*

0.0063278

-2.0

D2_GDP

0.1797197

0.1585509

1.13

Constant

18.09643***

4.096842

4.42

R-Squared

0.9561

Adjusted R Squared

0.9092

Observations (N)

32

Source: StataCorp 2015. Where ***, **, * represent 1%, 5% and 10% significant levels

The results of the Error Correction Model (ECM) indicate a strong adjustment toward long-run equilibrium in Tanzania, suggesting that short-term deviations in CO2 emissions are corrected relatively quickly over time. In the long run, industrialisation and increased utilisation of renewable energy are linked to reductions in CO2 emissions, emphasising their critical role and importance in supporting and fostering environmental sustainability. Conversely, urbanisation and technological innovation contribute to increased emissions in the long term, indicating that rapid urban growth and certain technological changes may exacerbate environmental pressures if not managed properly. In the long-term analysis, variables such as trade openness, financial development, foreign direct investment, and GDP appear to have no significant influence on CO2 emissions, suggesting that their effects on environmental outcomes may be limited or indirect.

In the short run, urbanisation and technological innovation exhibit reductions in CO2 emissions, although these effects are temporary. Renewable energy usage continues to have a strong short-term mitigating impact on emissions, while foreign direct investment and other factors have minor short-term influences. Overall, the findings underscore the importance of promoting renewable energy, managing urban growth, and carefully integrating industrialisation and technological innovation to achieve sustainable environmental outcomes in Tanzania.

Discussion

The coefficient of the lagged dependent variable of CO2 (i.e. L1_CO2) within the ARDL framework, the coefficient is positive and significant at the 10% level, indicating a moderate persistence of CO2 emissions over time. The short-run impact of the factor of industrialisation is negative and statistically significant at 5%, implying that as the country industrialises, it leads to less CO2 emission. The results are counterintuitive, presenting structural changes in the industry activities in the country towards cleaner and more efficient energy utilisation. The findings contradict those of Adams and Fotio,24 Aquilas et al.,49 Mosikari,1 Byaro et al.,46, and Jinapor et al.,4 who observed a positive relationship. Thus, the current findings highlight the role of green industrialisation towards lowering CO2 emissions.

Short-run effects of factors of financial development and urbanisation showed an insignificant result. The lagged urbanisation variable is positive and highly significant, suggesting a strong long-term relationship between urban growth and environmental degradation. This implies that, over time, the expansion of urban areas in the country tends to elevate CO2 emissions. The results are consistent with observations made by Goswami et al.,50 Raihan et al.,8 Voumik and Sultana,51 Azam et al.,10 which link the factor of urbanisation with an increase in CO2 emission and other environmental degradation peril. Similarly, technological innovation appears to exert no immediate effect on CO2 emissions. However, it is the second lagged variable (L2-TI) which is observed to be significant at the 10% level. This may suggest that some delayed effects are more plausible due to the time required for a new technology to influence both production and consumption patterns. Such actions may initially increase CO2 emission before yielding some environmental benefits. Trade openness showed a negative but insignificant relationship with CO2 emission suggesting on the possibility that trade liberalisation in a country alone may not be a key driver towards environmental outcomes.

In contrast of renewable energy showed a significant negative short-run relationship with CO2. These results highlight its effectiveness as a tool to reduce environmental pollution. Interestingly, the first lag of renewable energy is positive and statistically significant, indicating some potential rebound to traditional or substitutional energy sources resulting from an increase in energy demand, potentially offsetting some environmental benefits earned over time. It is observed that foreign direct investment (FDI) does not have an immediate impact on CO2. However, it is its first lag which is observed to be positive and significant, however at a 10% significance level. FDI can thus be linked to environmentally intensive activities in the long run. Explaining the phenomena is the “pollution has hypothesis” posits that relocation of pollution-intensive industry in a developing country like Tanzania more than often comes with the cost of environmental unsound practices. Surprisingly, GDP and its lagged value are insignificant in the model, indicating that, at least in this selected sample that economic growth in the country has no direct or consistent relationship with CO2 emission.

The ECM results show that the coefficient of the lagged error term ( )), which captures the speed at which deviations from long-run equilibrium are adjusted after short-term shocks, is negative and highly significant. This provided strong evidence of a stable long-term relationship among the variables. In this regard, approximately 78.78% of previous disequilibria are corrected within one time period. The findings suggested a relatively rapid adjustment toward long-run equilibrium in response to short-term shocks. The high rate of adjustment toward long-run equilibrium underscores the responsiveness of environmental outcomes to changes in key determinants, including economic conditions, demographic trends, and energy-related policy variables. This suggests that environmental quality reacts relatively quickly to shifts in macroeconomic growth, urbanisation patterns, technological adoption, trade and investment policies, and renewable energy initiatives. Such responsiveness highlights the importance of timely and well-targeted policy interventions, as short-term adjustments in these variables can have measurable effects on CO2 emissions, while sustained changes in the long run can reinforce the achievement of environmental sustainability objectives. These results align with the findings of earlier research, including studies such as Ahmed et al.,21 Opoku and Boachie6 and Lin et al.52

In the short term, urbanisation has a statistically significant negative effect on CO2 emissions, contrasting with its positive long-term impact, which highlights a dynamic relationship between urban growth and environmental outcomes. In the short term, urban development may reduce emissions due to improvements in infrastructure, public transportation systems, energy use efficiency, and more effective urban planning strategies. These short-term gains suggest that initial stages of urban expansion can be environmentally beneficial when combined with sustainable practices and technological interventions. Over the long term, however, rapid urban expansion tends to increase energy consumption, transportation demand, and infrastructure activity, thereby contributing significantly to higher CO2 emissions. This highlights the importance of implementing comprehensive urban sustainability policies to mitigate the negative environmental impacts associated with long-term urban growth. This supports findings from global urban CO2 emission studies such as Rehman et al.,12 Li and Haneklaus,53 and Radmehr et al.54

The short-run effects of technological innovation present notable insights. Both the first-difference term and its lagged variables are negative and statistically significant, suggesting that the introduction of new technologies initially contributes to a reduction in CO2 emissions. This indicates that technological improvements can enhance energy efficiency and promote environmentally friendly practices in the short term, which corresponds to the findings of Zameer et al.,37 and Munir and Ameer.11 However, the long-run effect of technological innovation is observed to be positive and significant, implying that over time, the emission-reducing benefits may diminish or even reverse. This seemingly counterintuitive outcome aligns with the principles of the “Jevons Paradox,”55,56 whereby increased technological efficiency can stimulate higher economic activity and energy consumption, ultimately leading to greater environmental pressures. These findings highlight the complex and dynamic role of innovation, suggesting that while short-term environmental gains are possible, long-term sustainability may require complementary policies to manage the rebound effects associated with technological progress.

The short-run impact of renewable energy is observed to be strongly negative, supporting its immediate effectiveness in lowering CO2 emissions. Notably, the lagged differences of the variable are not statistically significant, indicating that short-term effects of adopting renewable energy may weaken over time or depend largely on ongoing or sustained investment.8,12,54 Despite this, the long-run relationship is predominantly negative and highly significant, indicating that renewable energy adoption plays a persistent and crucial role in reducing CO2 emissions over an extended period. This finding underscores the importance of transitioning away from fossil fuels.37,53,57 and highlights the need for long-term policy support, technological development, and investment to ensure that renewable energy contributes effectively to environmental sustainability goals. It further emphasises that while short-term gains may be limited, the strategic promotion of renewables remains essential for achieving durable reductions in carbon emissions.

Foreign direct investment (FDI) exhibits a modest but statistically meaningful negative effect on CO2 emissions in the short run. These findings are quite similar to the findings of Udemba and Keles39 and Zameer et al.,37 however, inconsistent with those of Opoku and Boachie6 where FDI has been associated with an increase in CO2 emission resulting from the establishment of energy-intensive industries. This suggests that recent FDI inflows into the country are likely directed toward cleaner technologies and environmentally conscious investment projects, supported by policies and regulations that promote sustainable development. However, the analysis indicates that this beneficial effect diminishes over the long term, implying that without sustained guidance, monitoring, and strategic allocation, the positive environmental impact of FDI may weaken. These findings highlight the need for long-term policy frameworks and investment incentives to ensure that FDI continues to contribute meaningfully to environmental sustainability while supporting economic growth.

The findings of this study have revealed complex dynamics between economic, demographic, technological, and environmental factors and CO2 emissions in Tanzania, highlighting both immediate and long-term effects. In the long term, industrial growth and the adoption of renewable energy help lower CO2 emissions, indicating that environmentally sustainable industrial activities and a shift toward clean energy can effectively reduce carbon output. On the other hand, urban expansion and technological development are associated with higher emissions over time, suggesting that rapid urbanisation and certain technological implementations may intensify environmental pressures if not properly managed. Other factors, including trade liberalisation, financial system development, foreign direct investment, and GDP, do not show strong long-term effects, implying that their influence on emissions may be limited under current conditions.

Short-term dynamics, as captured by the ECM results, show a slightly different pattern. Urbanisation and technological innovation temporarily reduce CO2 emissions, suggesting that short-term interventions in urban planning or technology deployment can have immediate benefits. The role of renewable energy in mitigating emissions in the short run continues in the short run, while foreign direct investment shows minor short-term impacts. These findings emphasise that Tanzania’s environmental outcomes depend on the interaction between development activities and sustainability measures. Policies should prioritise renewable energy expansion, sustainable industrial growth, and environmentally conscious urban and technological planning. A coordinated approach is needed to support economic development while minimising negative environmental consequences and promoting long-term sustainability.

Conclusion

Human progress has always depended on the environment. However, as human progress accelerated, its impact on the environment intensified. The current study aimed at examining the impact of human activities (economic, demographics, technological) on carbon dioxide emission in Tanzania, with a strong emphasis on trade liberalisation, financial system development, innovation, foreign inflow and renewable energy usage. This study investigated the economic, demographic, and technological determinants of CO2 emissions in Tanzania by applying both the ARDL framework and its associated error correction specification, allowing analysis of both immediate and long-term effects. The finding showed that the industrialisation process taking place and significantly transitioning towards the use of renewable energy decreases CO2 emissions in the country. The results also indicated that the urbanisation process and technology innovation taking place in the country correlated with increasing CO2 emissions. However, the two factors of urbanisation and technological innovation are observed to decrease CO2 emissions in the short run, although such shocks are short-lived. In light of these findings, Tanzania shows mixed progress toward the Sustainable Development Goals. Efforts to promote industrialisation and renewable energy contribute positively to climate action (SDG 13) by reducing CO2 emissions. However, rapid urbanisation and technological innovation, while beneficial in the short run, are associated with increased emissions in the long run, highlighting the need for sustainable urban planning and cleaner technological adoption to meet environmental targets.

The study results offer several key implications for the environmental and economic policy of the country. First, the process of urbanisation in the country needs to be managed carefully, as many of the initial phases offer more environmental gains; however, continuing expansion without proper planning could lead to more catastrophic results. The country needs to consider a more sustainable urban development strategy that is centred around elements such as smart infrastructures and an efficient transportation system. Second, promoting and pushing for green industry policy that offers incentives for energy-efficient production, pushing for digitalisation and circular economy models, offers beneficial effects on CO2 emissions. Third, the dual nature of the factor of technological innovation calls for an innovation process that is accompanied by environmental regulations and sustainability guidelines to avoid any rebound effects in the long run. Fourth, the critical role of renewable energy sources cannot be overly or understated in the country. The significant effects seen over both immediate and extended periods highlight the urgent necessity to promote renewable energy use, while also tackling challenges like unclear regulations and funding limitations. Fifth, the short-run environmental benefits of FDI point to the importance of attracting more sustainable investment in the country. Lastly, the action of embedding environmental standards in investment treaties and offering more incentives to green investment is one of the important considerations a country can make.

Future studies in this area could focus on identifying and explaining any structural breaks resulting from a shift in economic or political environments. Understanding the structural breaks could offer a deeper account of how a sudden shift, such as social, political, economic and technological reform, affects the environment (i.e., CO2 emission). Moreover, incorporating these shifts in structure may improve the consistency of outcomes and support stronger modelling approaches for subsequent research in this area.

Acknowledgement

The author gratefully acknowledges the guidance and support of the Department of Accounting and Finance, The University of Dodoma, in completing this article.

Funding Sources

The author(s) received no financial support for the research, authorship, and/or publication of this article.

Conflict of Interest

The authors do not have any conflict of interest.

Data Availability Statement

Data used in this study can be requested from the authors or can be accessed through the World Bank Data portal https://databank.worldbank.org/source/world-delopment-indicators.

Ethics Statement

This research did not involve human participants, animal subjects, or any material that requires ethical approval.

Informed Consent Statement

This study did not involve human participants, and therefore, informed consent was not required.

Permission to reproduce material from other sources

Not Applicable

Author Contributions

The sole author was responsible for the conceptualisation, methodology, data collection, analysis, writing, and final approval of the manuscript.

Reference

  1. Mosikari T. Heterogenous effect of industrialisation on environmental degradation in Southern African Customs Union (SACU) countries : Quantile analysis. Economies. Published online 2024. doi:10.3390/ economies12030071
    CrossRef
  2. Sampath HR, Pyeman J, Othman N. Nexus of industrilisation and environmental degradation in newly industrialised countries. J Sustain Sci Manag. 2024;19(11):223-233. http://doi.org/10.46754/jssm.2024.11.014
    CrossRef
  3. Souza CD, Peretiatko R. The nexus between industrialization and environment: A case study of Indian enterprises. Environ Manag Heal. 2002;13(1):80-97. doi:10.1108/09566160210417859
    CrossRef
  4. Jinapor JA, Abor JY, Graham M. FDI, industrilisation and environmental quality in SSA- The role of institutional quality towards environmental sustainability. Humanit Soc Sci Commun. 2019;(2024):1-15. doi:10.1057/s41599-024-04000-6
    CrossRef
  5. Zafar A, Ullah S, Majeed MT, Yasmeen R. Environmental pollution in Asian economies: Does the industrialisation matter. Opec Energy Rev. Published online 2020:227-248. doi:10.1111/opec.12181
    CrossRef
  6. Opoku EEO, Boachie MK. The environmental impact of industrialization and foreign direct investment. Energy Policy. 2020;137(C):111178. doi:10.1016/j.enpol.2019.111178
    CrossRef
  7. Al-ayouty I, Hassaballa H. The effect of urbanisation and industrialisation on environmental quality: The case of the MENA region. Int Conf Econ Financ Bus. 2022;(July):37-51.
  8. Raihan A, Muhtasim DA, Farhana S, et al. Nexus between carbon emissions, economic growth, renewable energy use, urbanization, industrialization, technological innovation, and forest area towards achieving environmental sustainability in Bangladesh. Energy Clim Chang. 2022;3(August):100080. doi:10.1016/j.egycc.2022.100080
    CrossRef
  9. Ali U, Guo Q, Nurgazina Z, et al. Heterogeneous impact of industrialization, foreign direct investments, and technological innovation on carbon emissions intensity: Evidence from Kingdom of Saudi Arabia. Appl Energy. 2023;336(January):120804. doi:10.1016/j.apenergy.2023.120804
    CrossRef
  10. Azam M, Rehman ZU, Ibrahim Y. Causal nexus in industrilization, urbanization, trade openness, and carbon emissions: empirical evidence from OPEC economies. Environ Dev Sustain. Published online 2021. doi:10.1007/s10668-021-02019-2
    CrossRef
  11. Munir K, Ameer A. Effect of economic growth, trade openness, urbanization, and technology on enviroment of Asian emerging economies. Manag Environ Qual An Int J. 2018;29(6):1123-1134. doi:10.1108/MEQ-05-2018-0087
    CrossRef
  12. Rehman A, Alam MM, Radulescu M, Alvarado R, Mihai D, Brutu M. A novel investigation to explore the impact on renewable energy, urbanization, and trade on carbon emission in Bhutan. Energies. 2022;15(2984). doi:10.3390/en15092984
    CrossRef
  13. Thao BTT, Huy CT. Effects of economic growth, foreign direct investment, energy consumption, and urbanisation on the ecological footprint in Vietnam. J Financ Res. 2024;15(8):15-31. https://doi.org/10.52932/jfm.v15i8
    CrossRef
  14. Steen M, Bergland O, Gjølberg O. Climate change and grain price volatility: Empirical evidence for corn and wheat 1971–2019. Commodities. 2023;2:1-12. https://doi.org/10.3390/commodities2010001
    CrossRef
  15. Albers H, Pfister U, Uebele M. The Great Moderation of Grain Price Volatility: Market Integration vs . Climate Change, Germany,1650-1790.; 2018.
  16. Nam K. Investigating the effect of climate uncertainty on global commodity markets. Energy Econ. 2021;96:105123. doi:10.1016/j.eneco.2021.105123
    CrossRef
  17. Ljungqvist FC, Thejll P, Christiansen B, Seim A, Hartl C, Esper J. The significance of climate variability on early modern European grain prices. Cliometrica. 2022;16(1):29-77. doi:10.1007/s11698-021-00224-7
    CrossRef
  18. Vries G De, Kruse H, Mensah E, Vidogbena Y, Yi K-M. Structural Change in Sub-Saharan Africa: An Open Economy Perspective.; 2024.
    CrossRef
  19. Kruse BH, Mensah E, Sen K, Vries G De. Are we witnessing a manufacturing renaissance in Africa ? UNIDO. Published 2021. Accessed January 30, 2022. https://iap.unido.org/articles/are-we-witnessing-manufacturing-renaissance-africa
  20. Hadili A, Nasim I, Boukhris M, Bashir F, Haider SA, Munir F. The dynamics of environmental resource productivity: The role of economic growth, trade openness, FDI, and urbanization in. Int J Energy Econ Policy. 2025;15(4):616-623. doi:10.32479/ijeep.19736
    CrossRef
  21. Ahmed F, Ali I, Kousar S, Ahmed S. The environmental impact of industrialization and foreign direct investment: empirical evidence from Asia-Pacific region. Environ Sci Pollut Res. 2022;29:29778-29792. doi:10.1007/s11356-021-17560-w
    CrossRef
  22. Ouyang Y, Li P. On the nexus of financial development, economic growth, and energy consumption in China: New perspective from a GMM panel VAR approach. Energy Econ. 2018;71:238-252. doi:10.1016/j.eneco.2018.02.015
    CrossRef
  23. Komal R, Abbas F. Linking financial development, economic growth and energy consumption in Pakistan. Renew Sustain Energy Rev. 2015;44:211-220. doi:10.1016/j.rser.2014.12.015
    CrossRef
  24. Adams S, Fotio HK. Economic integration and environmental quality: accounting for the roles of financial development , indusrialization , urbanization and renewable energy. J Environ Plan Manag. 2024;67(3):688-713. doi:10.1080/09640568.2022.2131510
    CrossRef
  25. Dubrova M V, Gusarova L V, Zhylina NN, Shamsutdinova MR, Ignatyev VG. Financial instruments of “green” economy development in Russia. E3S Web Conf 262,. 2021;04002:1-5. https://doi.org/10.1051/e3sconf/202126204002
    CrossRef
  26. Barber BM, Morse A, Yasuda A. Impact investing. J financ econ. 2021;139(1):162-185. doi:10.1016/j.jfineco.2020.07.008
    CrossRef
  27. Watts N, Scales IR. Social impact investing, agriculture, and the financialisation of development: Insights from sub-Saharan Africa. World Dev. 2020;130:104918. doi:10.1016/j.worlddev.2020.104918
    CrossRef
  28. Roundy PT. Regional differences in impact investment: a theory of impact investing ecosystems. Soc Responsib J. 2020;16(4):467-485. doi:10.1108/SRJ-11-2018-0302
    CrossRef
  29. Caseau C, Grolleau G. Impact Investing: Killing Two Birds with One Stone? Financ Anal J. 2020;76(4):40-52. doi:10.1080/0015198X.2020.1779561
    CrossRef
  30. Lamperti F, Treibich T, Bosetti V, Roventini A, Tavoni M. Three green financial policies to address climate risks. J Financ Stab. 2021;54:100875. doi:10.1016/j.jfs.2021.100875
    CrossRef
  31. Chen Y, Zheng B, Qu F. Modeling the nexus of crude oil, new energy and rare earth in China: An asymmetric VAR-BEKK (DCC)-GARCH approach. Resour Policy. 2020;65(October 2019):101545. doi:10.1016/j.resourpol.2019.101545
    CrossRef
  32. Ou Y, Shi W, Smith SJ, et al. Estimating environmental co-benefits of U.S. low-carbon pathways using an integrated assessment model with state-level resolution. Appl Energy. 2018;216(February):482-493. doi:10.1016/j.apenergy.2018.02.122
    CrossRef
  33. Tang S, Demeritt D. Climate change and mandatory carbon reporting: Impacts on business process and performance. Bus Strateg Environ. 2018;27:437-455. doi:10.1002/bse.1985
    CrossRef
  34. Milionis N, Köse HÖ, Tartaggia M. The European Union and climate change. J Turkish Court Accounts. 2021;32(122):9-35.
    CrossRef
  35. Hasan A, Abubakar IR, Rahman SM, Aina YA, Chowdhrury MI, Khondaker AN. The synergy between climate change policies and national development goals: Implications for sustainability. J Clean Prod. 2019;(xxxx):119369. doi:10.1016/j.jclepro.2019.119369
    CrossRef
  36. Ouyang X, Li Q, Du K. How does environmental regulation promote technological innovations in the industrial sector ? Evidence from Chinese provincial panel data. Energy Policy. 2020;139(February):111310. doi:10.1016/j.enpol.2020.111310
    CrossRef
  37. Zameer H, Yasmeen H, Zafar MW, Waheed A, Sinha A. Analyzing the Association between Innovation, Economic Growth, and Environment: Divulging the Importance of FDI and Trade Openness in India.; 2020. https://mpra.ub.uni-muenchen.de/101323
    CrossRef
  38. Voumik LC, Ridwan M. Impact of FDI, industrilization, and education on the environment in Argentina: ARDL approach. Heliyon. 2023;9(e12872). doi:10.1016/j.heliyon.2023.e12872
    CrossRef
  39. Udemba EN, Keles NI. Interactions among urbanization, industrilization and foreign direct investment (FDI) in determining the environment and sustainable development: new insight from Turkey. Asia-Pacific J Reg Sci. 2022;6:191-212. doi:10.1007/s41685-021-00214-7
    CrossRef
  40. Hanvoravongchai P, Paweenawat J. Economic and environmental dynamics in Southeast Asia: The impact of tourism, gross domestic product, foreign direct investment, and trade openness on carbon dioxide emissions. J Energy Environ Policy Options. 2024;8(1):51-65.
  41. Khalid S, Yousaf M, Rahman SU, Idrees S, Ali M. Analysis the impact of technology innovation, foreign direct investment, trade openness and globalization on CO2 emissions? Evidence from developing nations. Bull Bus Econ. 2024;13(2):966-973. https://doi.org/10.61506/01.00415
    CrossRef
  42. Kumar P, Wu H. Evaluating the dual impact of economic drivers on environmental degradation in developing countries: A study of technology innovation, foreign direct investment, and trade openness. J Energy Environ Policy Options. 2025;8(1):24-36. https://doi.org/10.5281/zenodo.17374758%0ACopyright:
  43. Schindler S, Gillespie T, Banks N, et al. Deindustrialization in cities of the Global South. Area Dev Policy. 2020;5(3):283-304. doi:10.1080/23792949.2020.1725393
    CrossRef
  44. Uddin MMM. What are the dynamic links between agriculture and manufacturing growth and environmental degradation ? Evidence from different panel income countries. Environ Sustain Indic. 2020;7(May):100041. doi:10.1016/j.indic.2020.100041
    CrossRef
  45. Abdi AH, Zaidi MAS, Hassan MA, Ahmed S. Accelerating sustainable transformation in sub-Saharan Africa: The role of clean energy, digitalization, foreign direct investment, and industrialization. Front Environ Sci. 2025;13(1624721). doi:10.3389/fenvs.2025.1624721
    CrossRef
  46. Byaro M, Mafwolo G, Mayaya H. Keeping an eye on environmental quality in Tanzania as trade, industrialization, income, and urbanization continue to grow. Environ Sci Pollut Res. 2022;29:59002-59012. doi:10.1007/s11356-022-1-9705-x
    CrossRef
  47. Pesaran MH, Shin Y, Smith RJ. Bounds testing approaches to the analysis of level relationships. J Appl Econom. 2001;16(3):289-326. https://www.jstor/stable/2678547
    CrossRef
  48. Meno FG, Sheikh IA, Mosissa T. Macroeconomic determinants of fiscal policy in Ethiopia: Evidence from ARDL co-integration approach. Soc Sci Humanit Open. 2025;12(101997). doi:10.1016/j.ssaho.2025.101997
    CrossRef
  49. Aquilas NA, Ngangnchi FH, Mbella ME. Industrilization and environmental sustainability in Africa: The moderating effects of renewable and non-renewable energy consumption. Heliyon. 2024;10(e25681). doi:10.1016/j.heliyon.2024.e25681
    CrossRef
  50. Goswami A, Kapoor HS, Jangir RK, Ngigi CN, Nowrouzi-Kia B, Chattu VK. Impact of economic growth, trade openness, urbanization and energy consumption on carbon emmissions: A study of India. Sustainability. 2023;15(9025). doi:10.3390/su15119025
    CrossRef
  51. Voumik LC, Sultana T. Impact of urbanization, industrilization, electrification, and renewable energy on the environment in BRICS: fresh evidence from novel CS-ARDL Model. Heliyon. 2022;8(e11457). doi:10.1016/j.heliyon.2022.e11457
    CrossRef
  52. Lin B, Omoju OE, Okonkwo JU. Impact of industrialisation on CO2 emissions in Nigeria. Renew Sustain Energy Rev. 2015;52:1228-1239. doi:10.1016/j.rser.2015.07.164
    CrossRef
  53. Li B, Haneklaus N. The role of renewable energy, fossil fuel consumption, urbanization and economic growth on CO2 emissions in China. Energy Reports. 2021;7:783-791. doi:10.1016/j.egyr.2021.09.194
    CrossRef
  54. Radmehr R, Henneberry SR, Shayanmehr S. Renewable energy consumption, CO2 emissions, and economic growth nexus: A simultaneity spatial modeling analysis of EU countries. Struct Chang Econ Dyn. 2021;57:13-27. doi:10.1016/j.strueco.2021.01.006
    CrossRef
  55. Jevons WS. The Coal Question. MacMillan and Company; 1865.
  56. Alcott B. Jevons’ paradox. Ecol Econ. 2005;54(1):9-21. doi:10.1016/j.ecolecon.2005.03.020
    CrossRef
  57. Salari M, Javid RJ, Noghanibehambari H. The nexus between CO2 emissions, energy consumption, and economic growth in the U.S. Econ Anal Policy. 2021;69:182-194. doi:10.1016/j.eap.2020.12.007
    CrossRef

Appendix

Table A1: Analysis results for series stationarity

Variable

Augmented Dickey-Fuller (ADF)

Phillips- Perron (PP)

Level

Test Statistics Value

CO2

-0.532

-0.502

INDU

-1.344

-1.276

FD

-1.251

-1.430

URB

-1.125

-1.134

TI

0.383

0.259

TO

-1.496

-1.915

RE

1.316

1.572

FDI

-5.040***

-7.679***

GDP

-0.527

-0.549

First Difference

CO2

-4.650***

-4.558***

INDU

-5.780***

-5.838***

FD

-3.771***

-3.751***

URB

-4.788***

-4.772***

TI

-5.269***

-5.304***

TO

-3.724***

-3.822***

RE

-5.054***

-0.531***

GDP

-3.889***

-3.901***

Source: StataCorp 2015. Where ***, **, * represent 1%, 5% and 10% significant levels

Table A2: Evidence for ARDL bounds test

Test statistics

value

H0

H1

F-Stat.

11.468

No level relationship

Relationship exists

T Stat.

-6.749

Sign. Levels

Upper I (1)

Lower I (0)

F-Stat.

T-Stat.

F-Stat.

T-Stat.

10%

3.06

-4.40

1.95

-2.57

5%

3.39

-4.72

2.22

-2.86

0.25%

3.70

-5.02

2.48

-3.13

1%

4.10

-5.37

2.79

-3.43

Source: StataCorp 2015.

Table A3: Diagnostic test results

Diagnostic tests

Chi-Squared

values

Decision

Durban-Watson test

2.06168

Non-existence of serial correlation

Breusch-Godfrey LM

2.238

0.1347

Non-existence of serial correlation

Breusch-Pagan

0.43

0.5127

Non-existence of heteroskedasticity

Source: StataCorp 2015.

Table A4: Evidence from the Granger causality evaluation

Dependent Variable

Independent Variable

Lags

Chi2

P-value

Conclusion

INDU

CO2

1

0.67039

0.413

No Granger Causality

FD

CO2

1

0.01478

0.903

No Granger Causality

URB

CO2

2

3.0412

0.219

No Granger Causality

TI

CO2

1

2.7061

0.1000

No Granger Causality

TO

CO2

1

0.19294

0.660

No Granger Causality

RE

CO2

1

2.7134

0.1000

No Granger Causality

GDP

CO2

2

3.4217

0.1812

No Granger Causality

FDI

CO2

1

0.27336

0.601

No Granger Causality

Source: StataCorp 2015.